八零图社
首页
最新
热门
排行
首页
最新
热门
排行
自然风光
动漫卡通
美食摄影
科技数码
人物写真
创意设计
壁纸背景
游戏原画
首页
德标5480花键标准
图片详情
din5480-2 1991 渐开线花键轴连接.啮合角30°.概览
0
浏览
0
喜欢
2330x3003
尺寸
2026-03-14 10:15:36
上传
查看原图
下载图片
图片链接
缩略图
原图
外链
专题
德标5480花键标准
相关图片
din 5480德国渐开线花键标准
0
0
din5480德标花键计算表格
0
0
德标5480渐开线花键详细参数
0
0
din5480德标花键计算表格
0
0
din5480
0
0
din5480-7-1991渐开线花键轴连接啮合角30°模数25的基础尺寸和试验
0
0
din 5480德国渐开线花键标准
0
0
din5480德标花键标准
0
0
din5480花键参数
0
0
所有分类 工程科技 机械/仪表 din5480-2中文版 德标的渐开线花键 表
0
0
德国花键标准din5480有缺陷
0
0
din5480 第13页 (共34页,当前第13页) 你可能喜欢 din5482 渐开线花键
0
0
随机推荐
农村生活 #村里的姑娘 没有东西更 更以前的照片吧 - 抖音
0
0
这是一组手绘骷髅头但一点也不恐怖
0
0
来看少女时代徐贤的身材
0
0
喜欢女生的小脚怎么办啊?
0
0
情侣微信朋友圈背景
0
0
聊天表情-斗图表情包-表情包网站
0
0
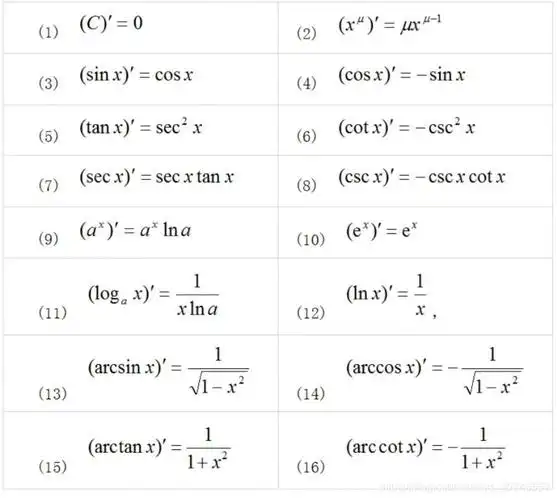
反函数求导法则的几何解释 6.反三角函数的导数7.
0
0
刘亦菲年轻时才叫惊艳时光,早期双麻花辫清纯写真,百看不厌 神仙姐姐
0
0
可爱柴犬高清微信萌宠头像图片
0
0
清爽的门头招牌
0
0
r1se成员集体团建为粉丝庆生细数两年来r1se留下的感动
0
0
情侣头像仙气高颜值
0
0