八零图社
首页
最新
热门
排行
首页
最新
热门
排行
自然风光
动漫卡通
美食摄影
科技数码
人物写真
创意设计
壁纸背景
游戏原画
首页
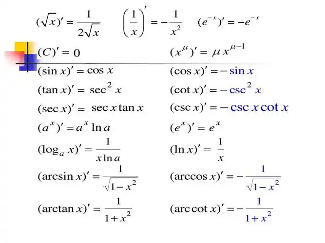
三角函数求导
图片详情
反函数求导法则的几何解释 6.反三角函数的导数7.
0
浏览
0
喜欢
792x711
尺寸
2026-03-13 16:06:46
上传
查看原图
下载图片
图片链接
缩略图
原图
外链
专题
三角函数求导
相关图片
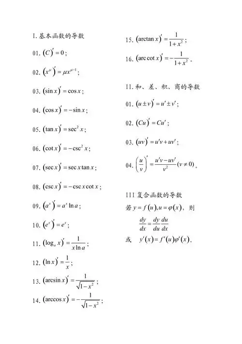
高等数学求导公式
0
0
高等数学求导法则ppt
0
0
求高中数学中"三角函数导数,指对数函数导数"公式的推倒过程 183 2014
0
0
三角函数和导数公式合集
0
0
高一数三角函数求导公式整理_第1页
0
0
三角函数导数微分积分
0
0
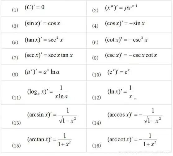
基本函数求导公式
0
0
三角函数的导数怎么证明
0
0
三角函数反三角函数积分公式求导公式.doc
0
0
基本初等函数导数推导
0
0
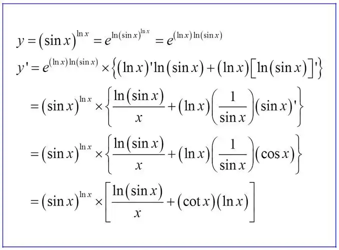
(sinx)^lnx的导数
0
0
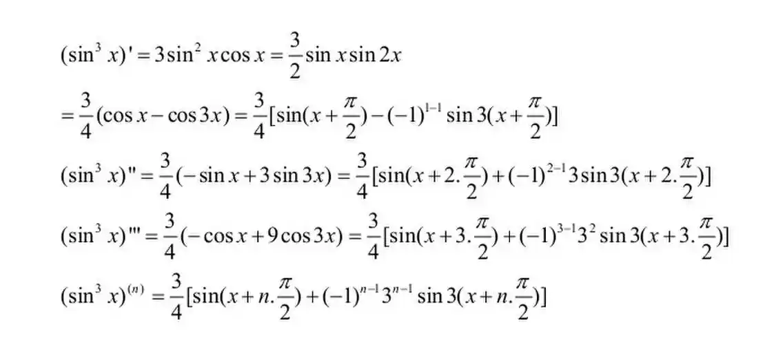
大学高数.求sinx的三次方的n阶导数
0
0
随机推荐
男孩卡通
0
0
决定离开,放手
0
0
保险从业人员座右铭 保险公司人生格言励志
0
0
香港著名旅游景点(香港主要旅游景点)插图
0
0
40岁嫁给郑少秋,却在酒店发现丈夫出轨,沈殿霞:婚姻最怕欺骗
0
0
华福奎
0
0
几种不同造型的办公室陈列架子,置物展柜 实用的办公室或书房置物陈列
0
0
全新第七代福特野马mustang正式首发
0
0
第522样 含赤铁矿的变质岩类--陨石谷 yunshigu.com
0
0
拉文扣篮大赛赢了,网友:戈登稳稳的,可惜拉文是"变态"
0
0
【h222】科比 只要心够决 nba 篮球 励志 牛皮纸海报51*35.5cm
0
0
五台山金阁寺住持广济老和尚示疾圆寂,世寿七十三岁
0
0