八零图社
首页
最新
热门
排行
首页
最新
热门
排行
自然风光
动漫卡通
美食摄影
科技数码
人物写真
创意设计
壁纸背景
游戏原画
首页
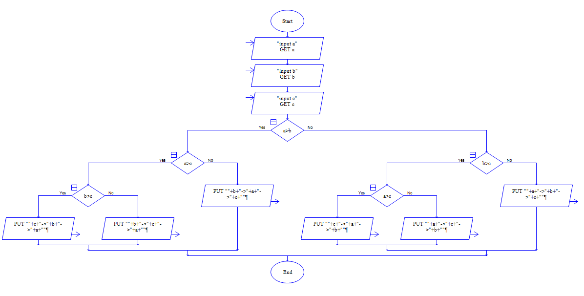
c语言流程图选择结构
图片详情
c语言程序设计第四次作业——选择结构(2)
0
浏览
0
喜欢
1196x606
尺寸
2026-03-13 08:15:31
上传
查看原图
下载图片
图片链接
缩略图
原图
外链
专题
c语言流程图选择结构
相关图片
c语言程序流程设计之选择程序流程设计(12) | 码农家园
0
0
c语言程序设计第四次作业选择结构2
0
0
流程图——选择结构ppt
0
0
c语言选择排序算法
0
0
c语言_选择结构的程序设计
0
0
c语言关系运算符及其用法
0
0
多重if选择结构流程图:}//代码块3}else{//代码块2}else if(条件2)
0
0
c语言编程学习选择结构之 if 条件语句
0
0
p>c语言条件控制语句选择结构,是属于 a href="#" data-lemmaid="
0
0
c语言"交换两个变量的值"和求十个数中最大的数(流程图,代码)-阿里云
0
0
c语言程序设计第三次作业——选择结构(1)
0
0
求此题c语言流程图!
0
0
随机推荐
儿童画/《艾莎公主》/儿童创意美术.等待别人拯救的是公主自己
0
0
金鱼能为你带来好运
0
0
v5战队创始人:我们的目标是星辰大海
0
0
邀你看花.海棠花的花语:苦恋,美丽,快乐,思乡,离愁,它寓意 - 抖音
0
0
我们的少年时代之棒球女王改编版
0
0
男生头像帅气撩人高清超拽男生高清微信头像图片
0
0
快乐女孩 - 廖梦心 - 网易云音乐
0
0
适合普通人养的十款兰花,不仅便宜还很好养,开品漂亮香味浓郁
0
0
毛晓彤古装桌面壁纸
0
0
指令标志牌 命令标识-zl
0
0
漫心工坊板喷mg模心飞翼现货拍下好评热卖高达模型专区
0
0