八零图社
首页
最新
热门
排行
首页
最新
热门
排行
自然风光
动漫卡通
美食摄影
科技数码
人物写真
创意设计
壁纸背景
游戏原画
首页
94版倚天屠龙记小昭
图片详情
《倚天屠龙记》【小昭】她明眸皓齿,桃笑李.
0
浏览
0
喜欢
658x986
尺寸
2026-03-11 22:45:48
上传
查看原图
下载图片
图片链接
缩略图
原图
外链
专题
94版倚天屠龙记小昭
相关图片
94版《倚天屠龙记》小昭三次为张无忌唱《俩俩相忘》,音乐响起好听哭
0
0
倚天屠龙记中的小昭,嫁人生双胞胎女儿,现在美丽幸福!
0
0
邱淑贞 《倚天屠龙记之魔教教主》 饰 小昭
0
0
《倚天屠龙记之魔教教主》 小昭 【邱淑贞】
0
0
邱淑贞倚天屠龙记之魔教教主小昭邱淑贞
0
0
倚天屠龙记-小昭邱淑贞
0
0
《倚天屠龙记》 小昭 【邱淑贞】
0
0
还记得《倚天屠龙记》小昭吗?
0
0
黎姿饰演的周芷若《倚天屠龙记之魔教教主》在当时因剧情与原作相差过
0
0
陈秀丽《倚天屠龙记》【小昭】灵精多智俏丫头,愿委终生侍张郎;奈何只
0
0
《倚天屠龙记》——小昭
0
0
说出你们心中武侠歌曲的一番
0
0
随机推荐
17教育主题横版学校海报封面模板psd分层编辑设计素材高清背景图
0
0
新版人民币发行给您揭露中国印钞防伪中的小秘密
0
0
二人世界刚刚好2套60平超完美小户型
0
0
12星座的样子图片漫画少女,各星座的专属头像
0
0
生孩子当天,有人在前面抱着孩子,而冯绍峰对赵丽颖则是全程搀扶,这
0
0
哪吒为何能成为数代青年人的精神信仰国产巅峰动漫哪吒闹海
0
0
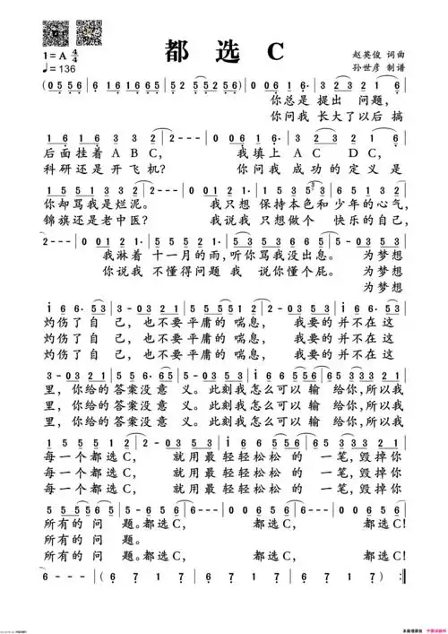
《都选c(缝纫机乐队摇滚版)》,原创歌曲简谱,通俗歌曲,国语歌曲谱
0
0
旺旺美女是某平台的一位女模特,今年26岁,身高190厘米,腿长120厘米.
0
0
乃万现场加入nous厂牌!没想到capper又又被骂惨了?_派克_西安_节目
0
0
陈数真的很美.她是影视界的璀璨星辰与多面女神,你还记得她吗?
0
0
抖音图文来了 #明星同款发型 #如何提高颜值 2021年热 - 抖音
0
0
京洲实邦 门牌号码牌酒店包厢办公室数字标识牌 轻奢金边a横板27*8cm
0
0