八零图社
首页
最新
热门
排行
首页
最新
热门
排行
自然风光
动漫卡通
美食摄影
科技数码
人物写真
创意设计
壁纸背景
游戏原画
首页
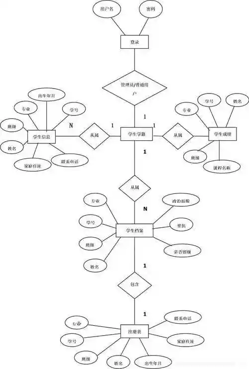
er图转化为二维表例题
图片详情
我这张数据表,谁能帮我做成er图
0
浏览
0
喜欢
591x399
尺寸
2026-03-13 21:44:24
上传
查看原图
下载图片
图片链接
缩略图
原图
外链
专题
er图转化为二维表例题
相关图片
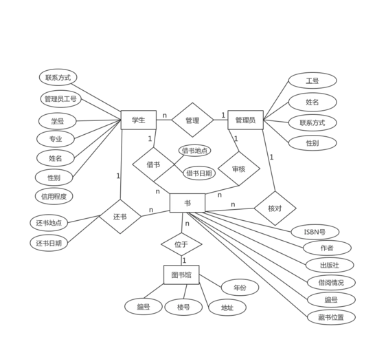
er图模型转换为关系模型
0
0
例题一
0
0
20211114databaseer图转为关系模式表示例
0
0
数据库课程设计——会员管理综合信息系统er图
0
0
购物e-r图-在线免费绘图工具,在线er模型设计,云架构图设计,思维导图
0
0
e-r图 转换成二维表学生信息表:学生信息 专业 班级 学号 姓名
0
0
er图画法及例题 er图1对1画法及例题-图片大观-奇异网
0
0
er图
0
0
用户er图-page-2.drawio
0
0
er图案例
0
0
网络考试系统需求分析er图答案
0
0
er图图例 | processon免费在线作图,在线流程图,在线思维导图
0
0
随机推荐
时装秀:模特在秀场自信优雅,风格靓丽迷人,造型美观大方,这样的模特穿
0
0
孙俪多数都是短发形象,你怎么评价这样的她?
0
0
50岁伊能静承认自己老了,丈夫秦昊才41岁,曾在《沙海》饰吴邪_生活
0
0
森林狼耳男:超凡能力觉醒(一)
0
0
美女明星 周迅 的图集
0
0
转著名画家刘云生的水彩画作品
0
0
尤其是她主演的一部电视剧《快嘴李翠莲》,尽管已经过了二十多年,但
0
0
闺蜜头像#真人 - 抖音
0
0
王者荣耀—安琪拉
0
0
腾讯视频
0
0
michael kors 迈克高仕 mk2223 女士石英手表新低623.55元
0
0
立邦漆奶油的珍珠白百看不厌nice
0
0