八零图社
首页
最新
热门
排行
首页
最新
热门
排行
自然风光
动漫卡通
美食摄影
科技数码
人物写真
创意设计
壁纸背景
游戏原画
首页
糖尿病健康宣教图片
图片详情
预防糖尿病图片
0
浏览
0
喜欢
765x1024
尺寸
2026-03-13 07:06:49
上传
查看原图
下载图片
图片链接
缩略图
原图
外链
专题
糖尿病健康宣教图片
相关图片
健康卫生糖尿病
0
0
糖尿病预防知识宣传展架图片
0
0
糖尿病科普知识ppt模板
0
0
关键词:糖尿病防治知识两折页免费下载 防治 健康 漫画 糖尿病 折页
0
0
糖尿病相关海报
0
0
糖尿病要健康管理 |德州市立医院开展糖尿病日健康宣教及义诊活动
0
0
住院病人病区护理健康宣教ppt模板糖尿病健康知识宣教方法技巧wps
0
0
「一图读懂」预防糖尿病
0
0
糖尿病健康知识宣教ppt40页
0
0
糖尿病宣传图片
0
0
预防控制糖尿病知识展架图片
0
0
11月14日世界糖尿病宣传日
0
0
随机推荐
瓶船,帆船,瓶,怀旧,内存
0
0
壁纸 蓝色和紫色背景的苹果
0
0
真的好想你漫画图片带字拥抱
0
0
耳环搭配项链点缀,真的是太高贵,太有气场啦.#姚晨
0
0
郁金提取物郁金浓缩粉郁金浸膏粉
0
0
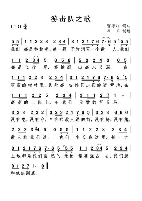
《游击队之歌》歌谱歌词
0
0
tfboys手机壁纸tfboys壁纸三人竖屏高清王俊凯王源易烊千玺tfboys写真
0
0
音乐类简约清新背景
0
0
云南酸角西双版纳特产傣家甜酸角带壳罗望子休闲零食散装果干酸枣糕
0
0
top100djs diego miranda 唤醒千人的室内电音派对,现场精彩回顾!
0
0
万寿宫街区的"网红"许真君这是历史与未来最美好的交集嗨电音狂欢节
0
0
爱情 粉色玫瑰花4k背景图片壁纸
0
0