八零图社
首页
最新
热门
排行
首页
最新
热门
排行
自然风光
动漫卡通
美食摄影
科技数码
人物写真
创意设计
壁纸背景
游戏原画
首页
42个大鹏展翅壁纸
图片详情
大鹏展翅图片
0
浏览
0
喜欢
1024x720
尺寸
2026-03-11 22:18:26
上传
查看原图
下载图片
图片链接
缩略图
原图
外链
专题
42个大鹏展翅壁纸
相关图片
大鹏展翅图片
0
0
大鹏展翅.jpg
0
0
大鹏展翅图片
0
0
大鹏展翅图为高考学子加油!
0
0
大鹏展翅
0
0
大鹏展翅图片
0
0
大鹏展翅图片
0
0
大鹏展翅
0
0
雄鹰大展宏图大鹏展翅背图片
0
0
雄鹰高清桌面壁纸_展翅翱翔的雄鹰
0
0
大鹏展翅图片
0
0
大鹏展翅
0
0
随机推荐
超帅蔡徐坤个性壁纸_忧郁风格的蔡徐坤
0
0
杜鹃
0
0
秦岚# 短发秦岚,美丽动人#明星美图大赏
0
0
2020年中国最美的五大女星是谁?赵丽颖上榜,第一名神仙姐姐.
0
0
二次元的萌妹子
0
0
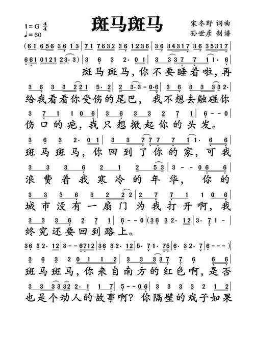
简谱斑马斑马
0
0
透气防工业粉尘装修打磨口鼻罩保为康9600防尘口罩kn90一次性夏季
0
0
男生光头发型
0
0
京剧《穆柯寨》舞台摄影2016.07.16
0
0
国徽息屏显示壁纸 - 抖音
0
0
你听过哪些比鬼故事更吓人的真实事件
0
0
新式大型折叠抬网搬网开发式自动捕鱼网虾提筝抬网渔网抓鱼提网
0
0