八零图社
首页
最新
热门
排行
首页
最新
热门
排行
自然风光
动漫卡通
美食摄影
科技数码
人物写真
创意设计
壁纸背景
游戏原画
首页
闺蜜头像高冷 黑暗系
图片详情
闺蜜头像搬运围脖 魇珂酱
0
浏览
0
喜欢
1000x1000
尺寸
2026-03-13 18:17:31
上传
查看原图
下载图片
图片链接
缩略图
原图
外链
专题
闺蜜头像高冷 黑暗系
相关图片
高冷闺蜜头像来了,姐妹们,记得点赞哦
0
0
高冷闺蜜头像来了,姐妹们,记得点赞哦
0
0
【精选闺蜜头像】闺蜜就是黑暗的时候陪你一起等天亮的人,姐妹团头
0
0
黑暗闺蜜头像
0
0
闺蜜头像二次元古风黑暗系 闺蜜头像图片大全 -【爱个性】
0
0
【精选闺蜜头像】闺蜜就是黑暗的时候陪你一起等天亮的人,姐妹团头
0
0
女生高冷二次元闺蜜头像个性网 女生头像图片大全 -【爱个性】
0
0
闺蜜头像#黑白配
0
0
黑暗系闺蜜双人头像 闺蜜头像图片大全 -【爱个性】
0
0
【精选闺蜜头像】闺蜜就是黑暗的时候陪你一起等天亮的人,姐妹团头
0
0
唐崎夜雨 个性高冷二次元闺蜜头像
0
0
高冷霸气的动漫闺蜜头像_wi-fi_图片_字体
0
0
随机推荐
今年头3个月,五菱宏光面包车销量暴跌40%_搜狐汽车_搜狐网
0
0
wallpaper engine 每日壁纸推荐
0
0
驱邪斩鬼五雷符画法
0
0
微信男生头像宇航员系列
0
0
大伟女生版 蔡健雅《别找我麻烦》吉他弹唱六线谱_吉他谱_简谱
0
0
原创红领巾的系法两种方法小学生系红领巾的正确方法
0
0
蛇女
0
0
年轻干部作风建设 严守纪律党课ppt课件.pptx
0
0
钢琴谱:宝贝宝贝(两只老虎爱跳舞)(罗兔兔扒谱)
0
0
金子涵红衣性感高清手机壁纸
0
0
欲之诱惑 女性全透明性感裙子睡衣紧身长袖侧边裙情趣内衣激情诱惑
0
0
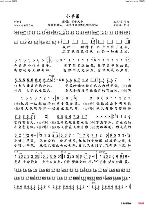
小苹果简谱
0
0