八零图社
首页
最新
热门
排行
首页
最新
热门
排行
自然风光
动漫卡通
美食摄影
科技数码
人物写真
创意设计
壁纸背景
游戏原画
首页
油封大全型号
图片详情
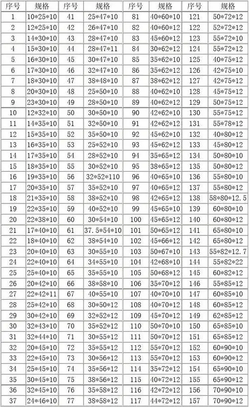
浮动密封规格序号文书参照
0
浏览
0
喜欢
920x1302
尺寸
2026-03-14 16:05:36
上传
查看原图
下载图片
图片链接
缩略图
原图
外链
专题
油封大全型号
相关图片
骨架油封规格表
0
0
骨架油封规格表 (3)
0
0
骨架油封规格表
0
0
铁壳油封产品信息
0
0
骨架油封规格表
0
0
油封规格表
0
0
凯德油封规格表
0
0
国标无骨架油封规格表
0
0
tb4型骨架油封
0
0
台湾nak fb tc型骨架油封 丁晴胶材质按内径tc215 220 230 235 mm
0
0
tc双唇包胶骨架油封尺寸规格表
0
0
德国cfw骨架油封tc单唇密封圈baumx7 90/110/12氟胶
0
0
随机推荐
家里挂画该怎么选?张洪山九鱼图招财旺运必不可少家居挂画
0
0
电影莫斯科行动#祝贺@janiceman文咏珊获得2023微博之夜"微博年度
0
0
国民闺女关晓彤玩抖音故意扮丑特效关掉后网友鹿晗有眼光
0
0
西山别墅区的【融创香山壹号院】开始种植园林了,这北京少有的大阳台
0
0
女孩垫着脚亲吻男孩爱情图片
0
0
超轻粘土制作可爱汉堡包教程
0
0
薛之谦头像
0
0
期待已久的照片,终于等到啦,好姐妹一辈子#希望我们越来越好 - 抖音
0
0
文字手写语录治愈
0
0
被"双j"接连邀请,24岁的王俊凯,终于证明了自己的"地位"
0
0
紫霞仙子女生头像情侣头像朱茵不定期更新喜欢关注bx
0
0