八零图社
首页
最新
热门
排行
首页
最新
热门
排行
自然风光
动漫卡通
美食摄影
科技数码
人物写真
创意设计
壁纸背景
游戏原画
首页
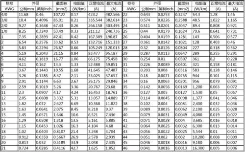
线径与电流对照表
图片详情
常用线号线径截面积电流对照表
0
浏览
0
喜欢
920x1302
尺寸
2026-03-14 16:20:05
上传
查看原图
下载图片
图片链接
缩略图
原图
外链
专题
线径与电流对照表
相关图片
awg线径电流对照表
0
0
导线线径与电流对照表
0
0
导线线径与电流对照表doc
0
0
导线线径与电流对照表
0
0
线径与电流对照表
0
0
线径电流对照表
0
0
awg线径电流对照表
0
0
电线电流与直径对照
0
0
导线线径与电流规格表
0
0
线材线径耐电流对照简表
0
0
线材线径耐电流对照表
0
0
导线线径与电流对照表
0
0
随机推荐
组图:许佳琪snh48毕业婚纱造型曝光 夜幕中穿纯白嫁衣冒仙气
0
0
qq背景图🌟夜晚星空壁纸精选🌌
0
0
油画长城-玩石不恭
0
0
早安图片带字唯美祝福语,早晨心语分享阳光句子
0
0
小河虾 500g 新鲜淡水青虾 小草虾醉虾清水野河虾
0
0
2004
0
0
女明星"光头"造型谁更胜一筹(2)
0
0
派特鹦鹉
0
0
全家福简笔画四口之家《幸福一家人》
0
0
颜狗看热巴吴磊直播好开心,年下啊啊啊(更新掰手腕动图,是.
0
0
美丽风警周宁县公安局组建交警女子骑行中队
0
0
如意定喘片
0
0