八零图社
首页
最新
热门
排行
首页
最新
热门
排行
自然风光
动漫卡通
美食摄影
科技数码
人物写真
创意设计
壁纸背景
游戏原画
首页
小苹果简谱
图片详情
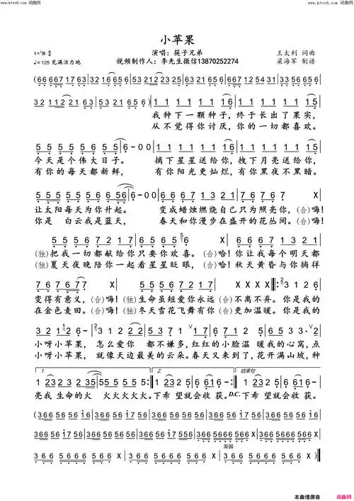
【小苹果简谱】小苹果歌谱简谱
0
浏览
0
喜欢
792x1121
尺寸
2026-03-15 04:07:01
上传
查看原图
下载图片
图片链接
缩略图
原图
外链
专题
小苹果简谱
相关图片
谁能把小苹果简谱拍下来给我?
0
0
小苹果简谱俄小苹果儿童歌曲简谱
0
0
小苹果简谱谁会改?
0
0
小苹果简谱筷子兄弟
0
0
小苹果简谱 筷子兄弟-国内至今无法超越的神曲1
0
0
小苹果简谱
0
0
筷子兄弟小苹果口琴简谱及歌词
0
0
葫芦丝演奏《小苹果》
0
0
小苹果 筷子兄弟 歌谱 简谱
0
0
小苹果简谱
0
0
《小苹果》(筷子兄弟演唱)_歌谱简谱_歌词简介_曲谱资料
0
0
小苹果简谱(歌词)_筷子兄弟演唱_君羊制谱
0
0
随机推荐
告白的夜小提琴谱乐谱简谱-虫虫乐谱
0
0
清朝钱局满汉文对照表 清代满汉文字汇总表
0
0
pixiv id: 61099231 电脑端上… - 堆糖,美图壁纸兴趣社区
0
0
售票员捡了10万报失者却说丢了8万隧道三线遭遇冒领者结果
0
0
李嫣的兔唇是遗传吗 李嫣的兔唇前后照片对比令人心疼
0
0
四川特产孔师傅农家土猪古法烟熏老腊肉袋装500g
0
0
新垣结衣经典海外写真
0
0
一:纪晓岚(张国立)
0
0
消除无用功——如何做到不容易疲劳的站姿
0
0
莴苣长绣斑是怎么回事?
0
0
大耳朵图图可爱卡通电脑桌面壁纸
0
0
七里香吉他谱 周杰伦 c调弹唱谱 《七里香》六线谱
0
0