八零图社
首页
最新
热门
排行
首页
最新
热门
排行
自然风光
动漫卡通
美食摄影
科技数码
人物写真
创意设计
壁纸背景
游戏原画
首页
后脑勺发型 男生
图片详情
191206鹿晗栗子同款发型话题上热搜鹿晗可爱后脑勺发量优越
0
浏览
0
喜欢
640x1138
尺寸
2026-03-13 14:06:38
上传
查看原图
下载图片
图片链接
缩略图
原图
外链
专题
后脑勺发型 男生
相关图片
9款男生后脑勺发型,留了颜值肯定加分!_三七_恶意_侵权
0
0
9款男生后脑勺发型,留了颜值肯定加分!_三七_恶意_侵权
0
0
顶部刘海的位置,后脑勺也是不能忽略,干净的后脑勺发型也是特别的有型
0
0
12款男生后脑勺发型留了好帅
0
0
哈尔滨男生分享 发型后脑勺的重要性.男生后脑勺的感觉 是你想 - 抖音
0
0
12款男生后脑勺发型留了好帅
0
0
12款男生后脑勺发型留了好帅
0
0
9款男生后脑勺发型,留了颜值肯定加分!_三七_恶意_侵权
0
0
9款男生后脑勺发型留了颜值肯定加分
0
0
男生后脑勺发型图片
0
0
看看后脑勺
0
0
2022男士发型后脑勺发型精选
0
0
随机推荐
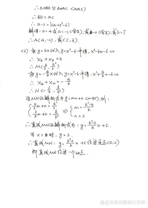
2020年武汉市中考数学最后一题是一道以二次函数为载体的综合题,题目
0
0
有的被说惨,有的损失严重,有的无辜躺枪_汪涵_田源_网友
0
0
什么是真正的心寒?
0
0
北大考古与百年百大考古发现辽宁营口金牛山遗址
0
0
吉安,一个吉祥平安的地方
0
0
和优良品抱瘦果蔬压片糖果咀嚼盒装和优良品新款和优良品两盒60粒
0
0
大横按按不住,各种技巧都试了练了,2年了还是按不出来,他们说琴不好
0
0
欢乐的男生图片
0
0
原矿料紫金砂镇宅吊坠道教清微五雷号令帝王朱砂紫金砂降魔符挂件
0
0
矮个子,长不高竟是因为这些行为?
0
0
超喜欢这组363436373039复古风动漫女头 #头像# #动漫
0
0
有趣的卡通章鱼夏天
0
0