八零图社
首页
最新
热门
排行
首页
最新
热门
排行
自然风光
动漫卡通
美食摄影
科技数码
人物写真
创意设计
壁纸背景
游戏原画
首页
国府酒金樽
图片详情
国府酒藏品习酒国府酒金樽53度国府酒珍藏
0
浏览
0
喜欢
673x453
尺寸
2026-03-13 01:37:06
上传
查看原图
下载图片
图片链接
缩略图
原图
外链
专题
国府酒金樽
相关图片
今年必如的一款酱香白酒——习酒国府金樽
0
0
贵州茅台集团习酒有限责任公司国府酒金樽53度酱香型白酒500ml1瓶
0
0
今年必如的一款酱香白酒——习酒国府金樽
0
0
国府酒藏品习酒国府酒金樽53度国府酒珍藏
0
0
国府酒藏品习酒国府酒金樽53度国府酒珍藏
0
0
国府酒藏品习酒国府酒金樽53度国府酒珍藏
0
0
国府酒金樽
0
0
国府酒藏品习酒国府酒金樽53度国府酒珍藏
0
0
国府酒藏品习酒国府酒金樽53度国府酒珍藏
0
0
国府酒藏品习酒国府酒金樽53度国府酒珍藏
0
0
国府酒藏品习酒国府酒金樽53度国府酒珍藏
0
0
国府酒藏品习酒国府酒金樽53度国府酒珍藏
0
0
随机推荐
吴尊澳洲过年引争议,晒全家福一家四口坐沙发,却让岳父母站两侧
0
0
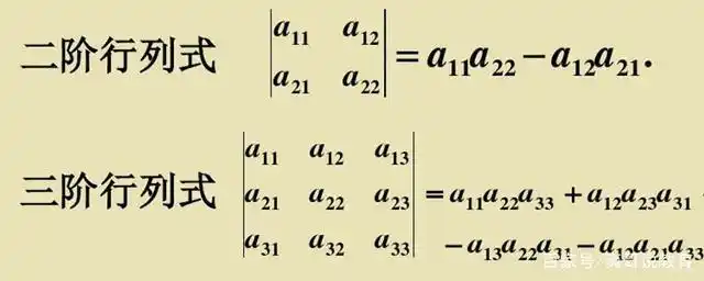
二阶行列式的代数余子式怎么求?
0
0
江苏厂价供应全自动打孔机/ 全自动台钻/全自动钻孔机
0
0
国际交流色彩信息的统一标准语言潘通色卡
0
0
世界上最大的蚂蚁,巨型公牛蚁咬人一口超级疼
0
0
生活中常见的三角形
0
0
【1080p 唱片级】金刚经-王菲--收于专辑《smile angel》-小孟河-默认
0
0
最新财生水流风景头像唯美的黄金瀑布风景图片
0
0
甘肃phc预应力管桩,兰州预应力方桩,空心方桩批发厂家认准甘肃力能实
0
0
中国最美的十大森林美得让人着迷你去过几个了呢
0
0
斑马纹上的影子.
0
0
背起行囊出发吧,走进大自然绿色的世界,感受自然的清风
0
0