八零图社
首页
最新
热门
排行
首页
最新
热门
排行
自然风光
动漫卡通
美食摄影
科技数码
人物写真
创意设计
壁纸背景
游戏原画
首页
共青团团徽高清 壁纸
图片详情
自行转发收藏使用共青团给团员准备了10张精美手机壁纸在党的十九大
0
浏览
0
喜欢
1080x1920
尺寸
2026-03-12 07:53:53
上传
查看原图
下载图片
图片链接
缩略图
原图
外链
专题
共青团团徽高清 壁纸
相关图片
团徽的内容为团旗,齿轮,麦穗,初升的太阳及其光芒,写有"中国共青团"五
0
0
共青团团徽
0
0
中国共青团团徽
0
0
团徽-共青团遵义医科大学委员会
0
0
团徽 共青团
0
0
砥砺前行资料来源于网络壁纸:全国高校共青团新媒体运营中心编辑:梅
0
0
戴团徽,亮身份,做表率
0
0
团徽图鉴一眼百年
0
0
共青团安庆市宜秀区委员会团区委积极组织两家爱心企业进行防汛抗洪
0
0
c4d布料团徽五四青年节海报22003300pxpsd模版下载
0
0
中国共青团团徽的组成和表示的意义是什么
0
0
中国共产主义青年团团徽,它不是一个普通的装饰品,也不是一般的纪念
0
0
随机推荐
《青春猪头》樱岛麻衣和梓川咲太,动漫头像,情头自剪无水印分享
0
0
东北家常菜,毛葱炒鸡蛋做法,学会这一招,鲜香脆爽,好吃下饭
0
0
"情歌王子"黄品源:中年分手不离家,他和前妻的联系引来争议_杨佳_男人
0
0
火影忍者疾风传,动漫,宇智波鼬,写轮眼,截图火影忍者疾风传壁纸图片
0
0
杨幂 头像
0
0
谢谢动态表情包80p表达感谢的表情包大全
0
0
现代泼彩山水中的禅意虚静之美
0
0
双人cp姿势93不同角度拥抱的画法 喜欢画cp的各位 今天来解锁画画新
0
0
忘羡-双人魔道祖师原创作品-触站
0
0
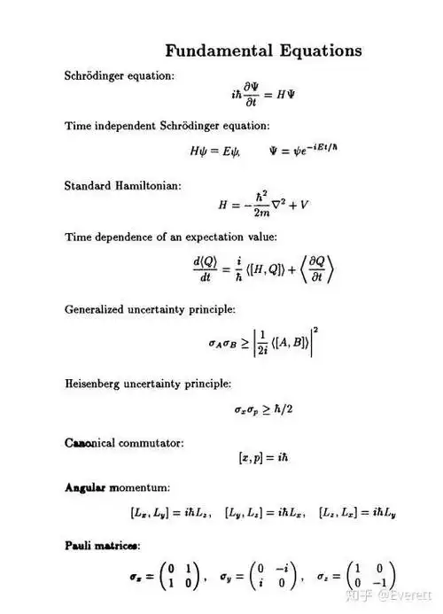
学量子力学有那些必备公式?
0
0
高级感冰蓝灰
0
0
灵动小金鱼宽屏壁纸_简单的小金鱼
0
0