八零图社
首页
最新
热门
排行
首页
最新
热门
排行
自然风光
动漫卡通
美食摄影
科技数码
人物写真
创意设计
壁纸背景
游戏原画
首页
郑卫莉简介出生年月
图片详情
艺术为了和平丨国际和平艺术家:郑卫莉_联合国_中国_电影
0
浏览
0
喜欢
1080x1620
尺寸
2026-03-14 02:27:38
上传
查看原图
下载图片
图片链接
缩略图
原图
外链
专题
郑卫莉简介出生年月
相关图片
【图】郑卫莉演过的电视剧叫什么 其称表演需要有文化支撑(3)_大陆星
0
0
p>郑卫莉,5月23日出生于湖北省武汉市江汉区,中国内地女演员,毕业于
0
0
郑卫莉二婚嫁杜志国,但好景不长,杜志国被女粉丝曝丑闻#杜淳 #老戏骨
0
0
郑卫莉早年经历
0
0
杜淳的老婆是谁 杜志国现任老婆郑卫莉个人资料照片
0
0
资料演员郑卫莉个人档案附图
0
0
p>郑卫莉,5月23日出生于湖北省武汉市江汉区,中国内地女演员,毕业于
0
0
p>郑卫莉,5月23日出生于湖北省武汉市江汉区,中国内地女演员,毕业于
0
0
p>郑卫莉,5月23日出生于湖北省武汉市江汉区,中国内地女演员,毕业于
0
0
艺术为了和平丨国际和平艺术家:郑卫莉_联合国_中国_电影
0
0
p>郑卫莉,5月23日出生于湖北省武汉市江汉区,中国内地女演员,毕业于
0
0
郑卫莉前脚和赵军离婚后脚就带儿子嫁大13岁杜志国如今怎样了
0
0
随机推荐
梦幻浪漫键盘壁纸
0
0
姓李的微信头像图片 - 搜狗图片搜索
0
0
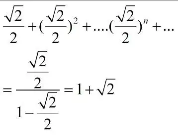
求解 求无穷级数 sin 45° (sin 45° )^2 (sin 45°)^3
0
0
36岁田馥甄素颜白嫩如20,风衣牛仔裤气质佳,父母穿衣却很接地气
0
0
90年代的回忆——解放ca141"双排"消防车
0
0
提车了等了半年啊530im石青色暗夜蓝
0
0
美意婚礼【红色中式婚礼】
0
0
恶心 变形 惊呆 白人女子 老年人
0
0
少儿美术线描35线描静物
0
0
美猴王孙悟空q版
0
0
大声告诉我好玩不过什么要优雅不要污的动态图
0
0
tfboys高清背景图
0
0