八零图社
首页
最新
热门
排行
首页
最新
热门
排行
自然风光
动漫卡通
美食摄影
科技数码
人物写真
创意设计
壁纸背景
游戏原画
首页
大衣外套男士
图片详情
chenwolves男士大衣
0
浏览
0
喜欢
800x800
尺寸
2026-03-12 11:16:21
上传
查看原图
下载图片
图片链接
缩略图
原图
外链
专题
大衣外套男士
相关图片
意大利高档呢子大衣男外套男士中长款加厚双面呢秋冬季羊毛呢风衣
0
0
suntek冬季毛呢大衣男短款时尚潮流妮子外套韩版修身百搭呢料夹克风衣
0
0
时尚中长款毛呢大衣也太帅了吧!#男士外套推荐 #品质男装 - 抖音
0
0
专柜正品高端中长款风衣秋冬季男士新款商务休闲中年百搭气质外套
0
0
太平鸟冬季短款时尚羊毛呢大衣男韩版修身呢外套
0
0
chenwolves男士大衣
0
0
啄木鸟高档中长款呢子大衣外套.
0
0
amnai)秋冬新款男士夹克衫外套中老年男装立领休闲夹克大衣保暖 深
0
0
冬季个性线条格子毛呢大衣男士潮牌宽松短款风衣潮流呢子加厚外套
0
0
春秋新款薄款连帽中长款风衣大衣男韩版潮流修身帅气青年男士外套
0
0
yuansu呢子风衣男短款韩版潮流帅气新款大翻领毛呢大衣男士妮子外套
0
0
恒源祥纯棉男士外套秋冬中长款爸爸翻领商务茄克中年男装加棉加厚夹克
0
0
随机推荐
膝盖肿痛,滑囊炎还是滑膜炎,哪个更难治?
0
0
孙淑媚maysuen
0
0
韩翻拍命中注定我爱你张赫张娜拉有望再携手
0
0
什么是小人
0
0
灰指甲刚开始的图片灰指甲怎么治
0
0
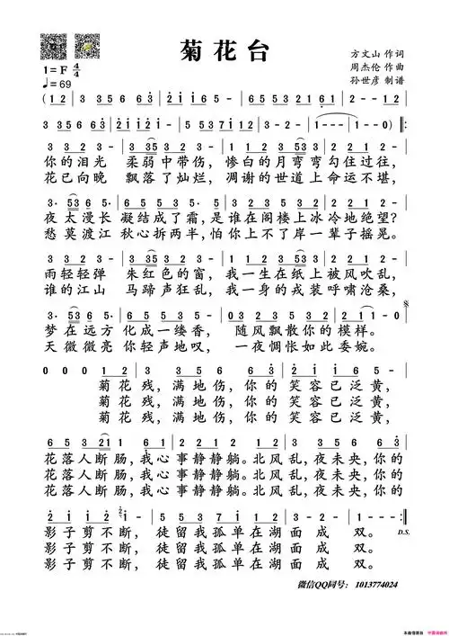
菊花台简谱
0
0
【图】胎压问题请教_荣威rx5/rx5新能源论坛_汽车之家论坛
0
0
电影新少林寺清晰帅气图片_明星图片
0
0
金晨67亲笔签名照
0
0
【丢丢&呆呆】系列壁纸
0
0
杨戬哪吒
0
0
陈瑞书
0
0