八零图社
首页
最新
热门
排行
首页
最新
热门
排行
自然风光
动漫卡通
美食摄影
科技数码
人物写真
创意设计
壁纸背景
游戏原画
首页
王子图片卡通
图片详情
3d. 一个可爱的王子感到骄傲的例证
0
浏览
0
喜欢
700x933
尺寸
2026-03-14 12:44:29
上传
查看原图
下载图片
图片链接
缩略图
原图
外链
专题
王子图片卡通
相关图片
王子卡通头像
0
0
王子与金色的王冠
0
0
卡通人物王子
0
0
可爱的男孩王子
0
0
金发卡通王子矢量图
0
0
创意卡通王子的角色人物
0
0
白马王子卡通简笔画
0
0
王子图片大全
0
0
怎样画王子简笔画卡通
0
0
卡通人物贵族王子儿童插画
0
0
小王子卡通人物简笔画
0
0
卡通小王子读书小报手抄报word模板
0
0
随机推荐
迪士尼卡通人物图片
0
0
立定心志) / 南窗听雨编辑相关歌谱:[简谱]立定心志 和弦简谱[计鬃
0
0
我有表情包 - 我有微信表情包 - 我有qq表情包 - 发表情 fabiaoqing.
0
0
(熊猫头表情包)_骚得_熊猫表情
0
0
黑皮肤|人种|白皮肤_网易订阅
0
0
单秋天一棵树寂寞美丽秋天一棵树照片
0
0
妹纸创意:马里奥重口食人花
0
0
海边椰树风景摄影高清壁纸
0
0
googleappinventor科创独行侠冬令营丨一个可以很有趣的app冬令营
0
0
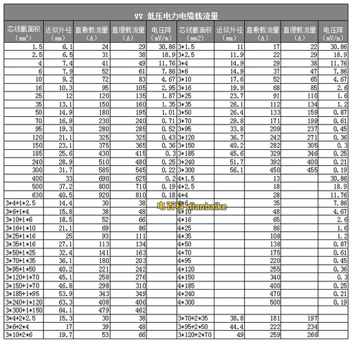
常用yjv,vv0.6/1kv低压电缆数据表
0
0
岳翎有种独特的美
0
0
大自然的唯美山峰景色
0
0