八零图社
首页
最新
热门
排行
首页
最新
热门
排行
自然风光
动漫卡通
美食摄影
科技数码
人物写真
创意设计
壁纸背景
游戏原画
首页
瓦努阿图地图
图片详情
瓦努阿图共和国
0
浏览
0
喜欢
325x556
尺寸
2026-03-12 14:45:34
上传
查看原图
下载图片
图片链接
缩略图
原图
外链
专题
瓦努阿图地图
相关图片
瓦努阿图国家概况
0
0
瓦努阿图 地图
0
0
ciip真实案例|瓦努阿图跳板新西兰是否可行?
0
0
瓦努阿图成人跳这才是真正的极限运动
0
0
瓦努阿图政治地图
0
0
最快最便宜的移民国家瓦努阿图
0
0
瓦努阿图简化行政地图矢量孤立插图.省(区)的边界和名称.多彩色剪影
0
0
真实的瓦努阿图是怎样的_传统_网络_图片
0
0
国家趣谈33瓦努阿图是个什么样的国家十个方面了解瓦努阿图
0
0
下面是2014年最新的maewo,所处国家:瓦努阿图.地图图片如下
0
0
世界地图之vanuatu瓦努阿图地图
0
0
瓦努阿图地图瓦努阿图英文地图瓦努阿图地形图瓦努阿图的地形图
0
0
随机推荐
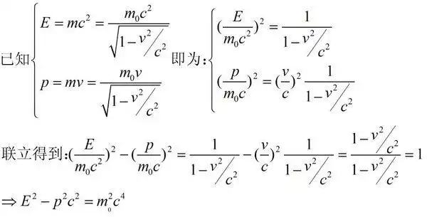
默认你已经知道相对论的两个重要结论(均可以用理论推导) 1,质能方程
0
0
青蛙可爱童话图标png素材透明免抠图片-图标元素
0
0
微信朋友圈背景图,封面图
0
0
李一桐气质型美女,清纯性感随意切换
0
0
太阳照常升起让子弹飞配乐
0
0
彭冠英酷帅有型冬日时尚写真高清图片614
0
0
蔡徐坤杂志写真帅气图片壁纸
0
0
2021年麻继钢被执行死刑押往行刑现场死前抽完2根烟含泪痛哭
0
0
长征组歌四渡赤水出奇兵简谱.
0
0
59岁宋丹丹穿黑色丝袜秀出大长腿
0
0
动漫可爱女生头像送你一组超可爱的动漫女生头像
0
0