八零图社
首页
最新
热门
排行
首页
最新
热门
排行
自然风光
动漫卡通
美食摄影
科技数码
人物写真
创意设计
壁纸背景
游戏原画
首页
卧龙吟古琴
图片详情
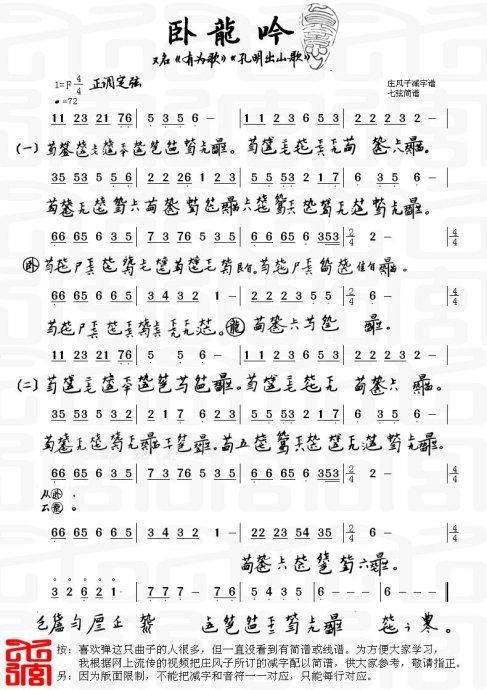
《卧龙吟》古琴谱减字谱 简谱 徐波 001.png
0
浏览
0
喜欢
800x1154
尺寸
2026-03-14 03:51:01
上传
查看原图
下载图片
图片链接
缩略图
原图
外链
专题
卧龙吟古琴
相关图片
卧龙吟古琴琴谱乐谱
0
0
卧龙吟-重庆张毅古琴院-名家授课-移植曲谱-中央音乐学院教学体系
0
0
【古琴谱分享】《卧龙吟》带前奏版
0
0
古琴谱卧龙吟
0
0
卧龙吟古琴谱-卧龙吟古琴谱-卧龙吟减字谱-国琴网
0
0
古琴谱卧龙吟
0
0
卧龙吟
0
0
古琴名曲谱卧龙吟图片谱
0
0
《卧龙吟》古琴谱减字谱 简谱 徐波 002.png
0
0
《卧龙吟》 佚名移植 - 古琴中国
0
0
卧龙吟-重庆张毅古琴院-名家授课-移植曲谱-中央音乐学院教学体系
0
0
公益课程直播琴曲卧龙吟的演奏方法
0
0
随机推荐
成人红军演出服男女八路军的衣服舞台装新四军装合唱服儿童表演服
0
0
入伍新兵宣誓:志愿参军入伍
0
0
孩子,传统,家,烹饪可爱,小女孩,卡通,等待,插画,早餐高兴,孩子,吃饭
0
0
梅花泪云菲菲简谱乐谱
0
0
他们哭了!
0
0
头像| 迟早会用上的微信头像|喜乐_网易订阅
0
0
mike:余生因你而美丽
0
0
琴星画集 | 带你欣赏童真童趣的绘画世界!_儿童
0
0
弯月系列唯美插画壁纸
0
0
马克笔儿童画小蜜蜂
0
0
中国竖版地图问世发行南海诸岛不再用插图表示2
0
0
而在球迷眼中,穆勒的搞笑天分已经成为了他的标签,他是世界足坛当之无
0
0