八零图社
首页
最新
热门
排行
首页
最新
热门
排行
自然风光
动漫卡通
美食摄影
科技数码
人物写真
创意设计
壁纸背景
游戏原画
首页
新手火影画佐助
图片详情
二柱子眼睛特写吧[看r]#火影忍者 #绘画 #画画的日常 #宇智波佐助
0
浏览
0
喜欢
1080x1439
尺寸
2026-03-12 05:48:09
上传
查看原图
下载图片
图片链接
缩略图
原图
外链
专题
新手火影画佐助
相关图片
教你画佐助
0
0
简单 #火影忍者# #手绘教程# #佐助
0
0
佐助教程#火影忍者 #佐助 - 抖音
0
0
手绘 #佐助 #火影忍者 #黑白画 #简笔画 火 - 抖音
0
0
火影忍者佐助血轮眼加轮回眼
0
0
教你画佐助
0
0
火影忍者绘画佐助简笔画(绘画火影忍者佐助简笔画) -【爱个性】
0
0
佐助 ##手绘教程 #火影忍者
0
0
教你画佐助
0
0
火影忍者 #画画 #日常瞎画 #手绘 #抽象 #宇智波佐助 - 抖音
0
0
火影忍者宇智波佐助手绘线搞教程过程
0
0
画火影忍者佐助,一步一步教画宇智波佐助
0
0
随机推荐
二战德国军装
0
0
俄语字母表
0
0
女孩子霸气`高冷的头像
0
0
老戏骨|刘思博|罗晋|孙俪_网易订阅
0
0
【马彧思生活】新版《新白娘子传奇》:人妖恋叙事存在的理由?
0
0
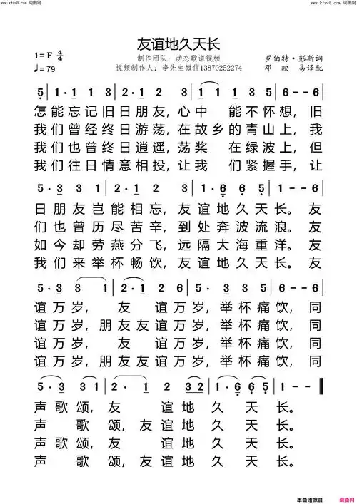
友谊地久天长简谱
0
0
地库机械车位投入使用,满足车位需求
0
0
91哭泣的女生头像92
0
0
王者q版头像 王者开黑头像
0
0
转赞迎接招财转运暴富文字壁纸
0
0
温文尔雅美娇娘,粉面生辉柔情藏,玉口金嗓歌妙曲,百媚千娇令人 - 抖音
0
0
动漫《鬼灭之刃》人物桌面壁纸
0
0