八零图社
首页
最新
热门
排行
首页
最新
热门
排行
自然风光
动漫卡通
美食摄影
科技数码
人物写真
创意设计
壁纸背景
游戏原画
首页
佐助永恒万花筒
图片详情
萌新第一个高招s永恒万花筒佐助招募纪念
0
浏览
0
喜欢
978x611
尺寸
2026-03-13 13:04:06
上传
查看原图
下载图片
图片链接
缩略图
原图
外链
专题
佐助永恒万花筒
相关图片
永恒万花筒佐助立绘爆料来了!
0
0
永恒万花筒佐助:现在的我,能够吞噬黑暗…加具土命!
0
0
策划说回放:【永恒万花筒佐助】三场实战
0
0
永恒万花筒佐助 你的首付准备好了吗
0
0
【4k 60帧】永恒万花筒佐助定格动画分享
0
0
带着决心和能看穿黑暗的双眼,宇智波佐助[永恒万花筒]现身!
0
0
【首付】高招s 『永恒万花筒』宇智波佐助
0
0
永恒万花筒佐助
0
0
佐助:无限月读对我无效_万花筒写轮眼_轮回眼_瞳术
0
0
48用魔方白送的三百金币招募了永恒万花筒佐助,望周知
0
0
宇智波佐助【永恒万花筒】260抽101片,我要变成佐助大王!
0
0
永恒万花筒佐助太帅了,被他狠狠的薄沙了qaq
0
0
随机推荐
台风_飓风_死亡
0
0
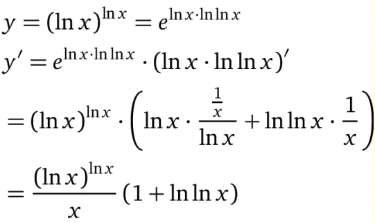
ln(n)的ln(n)次方求导
0
0
小虎队:30年前看热闹,30年后看人生
0
0
简笔画松树 简笔画松树图片 简笔画图片大全-普车都
0
0
一家人四口海边看日出日落背影幸福家庭图片
0
0
邓伦新剧《香蜜》一开播就炸了,网友:就我一个人觉得柏海出轨了_杨紫
0
0
每日练字打卡 #行书 #梁诗正 #王铎 #小楷 #灵飞经 #书法 #毛笔肿
0
0
非诚勿扰张丹丹牵手成功了吗揭秘其恋爱经历
0
0
cosplay【小姐姐】~眼镜女仆
0
0
眼角上翘的女人可以娶吗,眼尾上扬的男人面相(面相:眼睛看家庭婚姻
0
0
hot toys ht钢铁侠mk85 战损版 改造 #漫威 - 抖音
0
0
背景图片 你什么货色我什么脸色_威航霸气壁纸手机壁纸图片个性文字
0
0