八零图社
首页
最新
热门
排行
首页
最新
热门
排行
自然风光
动漫卡通
美食摄影
科技数码
人物写真
创意设计
壁纸背景
游戏原画
首页
双马尾粉毛动漫人物
图片详情
米色双马尾云朵头饰,粉色眼睛穿着睡衣是哪个动漫人物
0
浏览
0
喜欢
300x300
尺寸
2026-03-12 15:16:28
上传
查看原图
下载图片
图片链接
缩略图
原图
外链
专题
双马尾粉毛动漫人物
相关图片
粉毛双马尾
0
0
粉发双马尾动漫
0
0
双马尾少女
0
0
【头像】粉色双马尾
0
0
谁能帮我找个动漫粉发双马尾的图片
0
0
粉色系双马尾萝莉
0
0
p站美图推荐——披肩双马尾特辑(二)-动漫之家新闻站
0
0
双马尾 粉发 学院装
0
0
萌元素
0
0
粉色双马尾女孩子
0
0
人物立绘之粉发双马尾女孩
0
0
樱初音殿下,粉色的双马尾配上樱花,粉色过膝袜,衣服上的蝴蝶结是不是
0
0
随机推荐
她是新中国首位女省委书记,对江西经济贡献巨大,晚年专注于公益_万绍
0
0
苏菲亚和安柏公主哪个才是皇宫里最弱势的
0
0
黄晓明初三回姥姥家拜年右手无名指钻戒格外抢眼被人猜测再婚
0
0
现货加厚全棉天鹅绒布 户外运动服装面料 加厚婴儿毛绒布 天鹅绒
0
0
性感纹身美女高清养眼写真图片合集电脑桌面壁纸第一辑
0
0
94花卉拟人|紫罗兰 紫罗兰花语:永恒的美与爱,质朴和美德
0
0
皮肤病鉴别诊断彩色图谱
0
0
轻松速记朝代歌
0
0
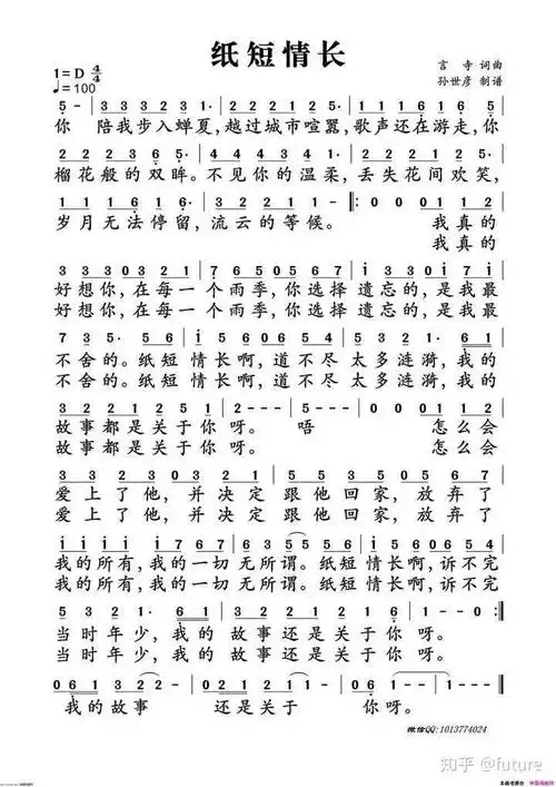
经典歌曲曲谱大全流行歌曲简谱合集流行歌曲口琴简谱集doc2020流行
0
0
6班,九.7班" 疫路阅读有书香"活动纪实
0
0
鬼吹灯之牧野诡事官方剧照剧照图片
0
0
马可波罗瓷砖都灵石时尚灰彰显不凡个性
0
0