八零图社
首页
最新
热门
排行
首页
最新
热门
排行
自然风光
动漫卡通
美食摄影
科技数码
人物写真
创意设计
壁纸背景
游戏原画
首页
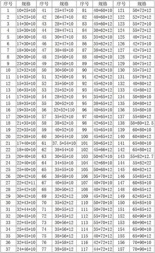
油封规格表
图片详情
骨架油封规格表
0
浏览
0
喜欢
600x1004
尺寸
2026-03-14 16:06:54
上传
查看原图
下载图片
图片链接
缩略图
原图
外链
专题
油封规格表
相关图片
骨架油封规格表
0
0
骨架油封规格表 (3)
0
0
骨架油封规格表
0
0
煤矿油封组合密封件的结构及标准尺寸规格表
0
0
c骨架油封的规格_尺寸_型号.doc
0
0
机械/仪表 tc骨架油封尺寸表 tc骨架油封尺寸表 序号(no)规格(size) 1
0
0
油封规格表
0
0
tc骨架油封橡胶骨架氟胶密封圈tc型旋转油封 fb双唇油封 83-900
0
0
骨架油封规格表
0
0
油封之单双唇型骨架油封标准尺寸规格表
0
0
骨架油封规格表oil seal
0
0
产品:日本nok油封,耐高温,耐高压油封,骨架油封,油封,油封规格表
0
0
随机推荐
张真源戏服造型大片##时代少年团蜕变三周年
0
0
rf输入俗称天线,它是射频信号的输入接口,如果用的是有线数字机顶盒
0
0
【菀菀类卿】当蒋勤勤孙俪相遇:"我看她,她也不停地看我"
0
0
摩洛哥c-130军用运输机坠毁78人死亡(图)
0
0
【壁纸】星空 梦幻 唯美
0
0
男生不管怎么剪发型还是两边铲光比较帅气干净利落显精神
0
0
你是猪天线宝宝soogifsoogif出品gif动图_动态图_表情包下载_soogif
0
0
聂明玦,金光瑶
0
0
国色天香!河南洛阳牡丹花开
0
0
对生活比耶的小男孩.#动漫男生头像 #优质头像 #小正太 # - 抖音
0
0
坐下的可爱皮卡丘简笔画
0
0
文字照片头像图片大全唯美伤感图片
0
0