八零图社
首页
最新
热门
排行
首页
最新
热门
排行
自然风光
动漫卡通
美食摄影
科技数码
人物写真
创意设计
壁纸背景
游戏原画
首页
中式吊灯
图片详情
新中式吊灯客厅灯别墅工程灯古典中国风实木餐厅卧室灯复式楼吊灯
0
浏览
0
喜欢
750x1030
尺寸
2026-03-12 12:06:56
上传
查看原图
下载图片
图片链接
缩略图
原图
外链
专题
中式吊灯
相关图片
新中式吊灯客厅灯风水 - 实验室设备网
0
0
中式灯具 客厅灯 餐厅灯 简约 现代 复古 中国风 仿古 新中式吊灯
0
0
现代中式吊灯实木客厅吊灯复古典羊皮餐厅酒店茶楼阳台中国风灯具
0
0
比月中式新古典创意布艺荷叶吊灯2003中号
0
0
现代新中式吊灯中国风客厅灯中式灯具布艺书房卧室铁艺仿古餐厅灯
0
0
现代中式吊灯木艺餐厅仿古灯玄关羊皮灯饰复古中国风阳台古典灯具
0
0
国风灯具的优惠券大全—新中式吊灯新款设计别墅客厅餐厅卧室轻奢复古
0
0
新中式餐厅吊灯现代简约客厅灯具创意铁艺仿古长方形吧台led灯饰
0
0
新中式吊灯圆形客厅餐厅酒店工程灯具大气卧
0
0
五光十色-木艺中式灯-别墅吊灯-wd55092-5头
0
0
00 爱逛***01 发布了 新中式吊灯铁艺鸟笼灯具复古酒店茶楼
0
0
现代中式灯具圆形吊灯客厅餐厅书房茶楼酒店灯具布艺吊灯
0
0
随机推荐
中国好声音历届女歌手颜值排名,伍珂玥,陈冰,都没排进前三.
0
0
动漫头像唯美梦幻星空
0
0
跪求动漫人物(男)线稿 较简单的
0
0
忍字书法欣赏
0
0
【斗罗大陆Ⅱ绝世唐门】唐三小舞再出境,霍雨浩离开公爵府.
0
0
动画人物角色创作|平面|其他平面|佣仆心中无英雄 - 原创作品 - 站酷
0
0
无蔗糖黑芝麻条散装老式江米孕产妇老年人咸味零食品香酥点心白芝麻条
0
0
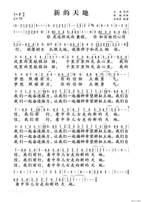
百年百歌新的天地
0
0
富顺第二中学校办学条件_办学成果_校训如何
0
0
邢昭林和梁洁的关系拍吻戏是真吻吗
0
0
在白色背景上打开门插画图片素材
0
0
78梦幻渐变色星空壁纸大放送78
0
0