八零图社
首页
最新
热门
排行
首页
最新
热门
排行
自然风光
动漫卡通
美食摄影
科技数码
人物写真
创意设计
壁纸背景
游戏原画
首页
浙江音乐学院 录取
图片详情
浙江音乐学院 #录取通知书 #民族打击乐 九月浙音见
0
浏览
0
喜欢
1080x810
尺寸
2026-03-13 17:28:03
上传
查看原图
下载图片
图片链接
缩略图
原图
外链
专题
浙江音乐学院 录取
相关图片
浙江音乐学院-音教系-全国第一名,学长分享录取经验!
0
0
浙江音乐学院大提琴演奏全国第三名国乐系学姐谈备考小窍门
0
0
浙江音乐学院录取通知书
0
0
浙江音乐学院关于公布2024年"专升本"招生拟录取名单的通知
0
0
浙江音乐学院关于公布2024年"专升本"招生拟录取名单的通知
0
0
我收到浙江音乐学院的录取通知书啦
0
0
浙音高颜值录取通知书来啦!_浙江音乐学院_零二七艺考
0
0
浙江音乐学院2021年考研拟录取名单及录取分数线
0
0
浙江音乐学院研究生录取通知书来啦
0
0
浙江音乐学院录取通知书来啦
0
0
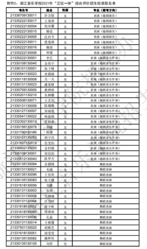
浙江音乐学院2021年三位一体综合评价招生分数线及录取名单
0
0
拆箱视频浙江音乐学院录取通知书包裹
0
0
随机推荐
艺术签名设计 - 抖音
0
0
简约白色干净情侣头像动漫
0
0
背部肌肉与臀部的完美结合,展现了男性的健身魅力!_男生_身体_训练
0
0
金晨胡夏恋情曝光速度惊人真相令人匪夷所思
0
0
三星galaxyfoldbutterfly蝴蝶唯美艺术4k壁纸
0
0
黄氏大家族各地黄氏认宗诗
0
0
招"暖经络",帮孩子退烧,止泻,对付各种病毒 99烫蛋疗法也叫滚蛋疗法
0
0
space club洛阳"秘密"室内音乐节嘉宾阵容!
0
0
妲己·热情桑巴·王者.
0
0
【p站美图】原神 迪卢克
0
0
王俊凯蓝色衬衫帅气写真
0
0
蓝色系小清新壁纸
0
0