八零图社
首页
最新
热门
排行
首页
最新
热门
排行
自然风光
动漫卡通
美食摄影
科技数码
人物写真
创意设计
壁纸背景
游戏原画
首页
赞扬别人好贴的图片
图片详情
简约流行赞扬手势
0
浏览
0
喜欢
288x407
尺寸
2026-03-13 14:19:31
上传
查看原图
下载图片
图片链接
缩略图
原图
外链
专题
赞扬别人好贴的图片
相关图片
幼儿园表扬奖励红旗贴纸贴画大拇指笑脸手掌立体脚丫自粘防水标示装饰
0
0
立体圆形墙贴
0
0
一组扁平风红色学生表扬贴纸合集之你最棒素材
0
0
永实不干胶贴纸儿童奖励表扬鼓励标签大拇指学生不干胶标签
0
0
给领导拍摄的照片
0
0
一组卡通矢量风表扬鼓励贴纸合集之你真棒素材
0
0
你真棒大拇指奖励贴纸幼儿园老师家长表扬小朋友鼓励学生儿童贴画
0
0
你真棒奖励贴纸小学生自粘鼓励易撕取表扬教师幼儿园孩子一年级
0
0
卡通赞扬手势装饰图
0
0
手绘卡通夸夸好运贴纸好的免抠素材
0
0
奖励60片大号大拇指磁贴黑板磁性表扬真棒小号贴纸
0
0
5厘米中文赞字 带胶大拇指奖励贴幼儿园儿童表扬贴纸点赞可贴衣服
0
0
随机推荐
2021年年历图片
0
0
背起书包上学校背书包的小朋友简笔画背着的小书包去上学女孩简笔画背
0
0
手机壁纸蓝色系ins风壁纸
0
0
私享时代 今日推荐|第827期 2017最流行的定制衣柜款式(多图)
0
0
回至wetherm温碧泉超感0动美白防晒乳 防晒霜(50g)spf30 林心如代言
0
0
九零后新生代歌手,cctv中央电视台嘉宾歌手,2016中国新歌声
0
0
蘑菇头 - 斗图表情包 - 斗图神器 - adoutu.com
0
0
张泽禹-头像&素材【出单】-贩卖日落头像铺(关铺不接)-话本小说网
0
0
图文:男篮世锦赛精选 裁判吹哨
0
0
1024_666gif 动态图 动图
0
0
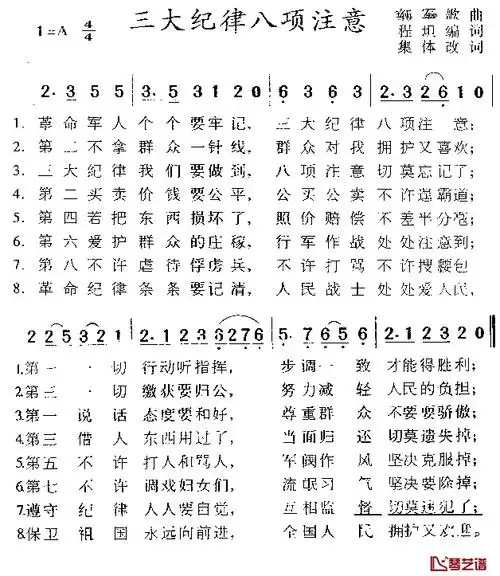
三大纪律八项注意简谱歌词
0
0
适合做头像的风景图片绝美的祖国大好河山
0
0