八零图社
首页
最新
热门
排行
首页
最新
热门
排行
自然风光
动漫卡通
美食摄影
科技数码
人物写真
创意设计
壁纸背景
游戏原画
首页
p1水弹
图片详情
豆豆子开箱—p1水弹完美复刻滑套和下身
0
浏览
0
喜欢
1641x923
尺寸
2026-03-12 00:48:15
上传
查看原图
下载图片
图片链接
缩略图
原图
外链
专题
p1水弹
相关图片
acfun【水弹模型】话题,快来参与
0
0
忽必烈p1水弹枪限量沙漠色版csgog17模型玩具
0
0
忽必烈p1水弹玩具枪优化展示
0
0
忽必烈竞技版p1金属水弹枪成品空挂回趟csgo彩虹六号吃鸡玩具模型
0
0
原厂忽必烈p1水弹枪试射
0
0
三洋磨砂水弹透明弹加硬加韧加重水晶蛋锦明捷鹰激趣p1专用弹7mm
0
0
p1水弹枪
0
0
忽必烈p1改全自动g18c水弹枪套件
0
0
忽必烈p1水弹枪
0
0
【水弹玩具】竞技红p1射击演示
0
0
水弹枪
0
0
忽必烈p1水弹玩具上手
0
0
随机推荐
高清帅气的霸气高冷孤独男头抽烟图片,男生头像图片
0
0
多肉葡萄芝士奶盖图片
0
0
现在正流通的50英镑纸币发行于2011年11月此次发行的新版50英镑钞票
0
0
刘德华父亲病逝,膀胱癌治愈后多享福20年,6个子女境遇天壤之别_华仔
0
0
2018格言名言微信头像_微信头像图片大全
0
0
可爱清新护眼绿芽高清桌面壁纸
0
0
少儿舞蹈基本功启蒙班
0
0
这是唐朝武则天墓前的无字碑.
0
0
studio wireless 录音师蓝牙无线版 头戴式耳机 beats x mcm 全球限量
0
0
两个脚脖处出现这种斑块情况有谁知道怎么用药?
0
0
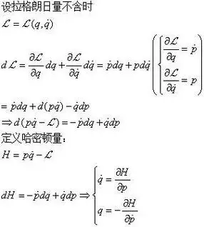
拉格朗日量哈密顿量及变分原理
0
0
黄花普草-蕙兰篇-中国兰花交易网社区
0
0