八零图社
首页
最新
热门
排行
首页
最新
热门
排行
自然风光
动漫卡通
美食摄影
科技数码
人物写真
创意设计
壁纸背景
游戏原画
首页
女杀手
图片详情
标题:女杀手 澄
0
浏览
0
喜欢
680x1024
尺寸
2026-03-13 19:27:26
上传
查看原图
下载图片
图片链接
缩略图
原图
外链
专题
女杀手
相关图片
这些刀光剑影中的女杀手,都带着凌冽杀机美的别具一格
0
0
好帅的皮手套女杀手姐姐
0
0
万圣节女杀手造型tips00.我个人是蛮喜欢这个look(装 - 抖音
0
0
女杀手
0
0
魔蝎女杀手
0
0
冷静,干练,专业的女杀手让人血脉喷张_哔哩哔哩_bilibili
0
0
1/10 蓝刀女杀手 树脂手办 女兵人 白模(原特) a-699
0
0
过瘾,女杀手vs终极斗士,被揍到怀疑人生!
0
0
鹦鹉洲长江大桥惊现冷酷女杀手
0
0
赏金猎人唐嫣饰演的女杀手也太帅了吧这么难的动作都没问题
0
0
标题:柔情女杀手~诗漫
0
0
女杀手
0
0
随机推荐
赵丽颖为何和其他"85花"不同?3个关键因素,解密她的成功密码_腾讯新闻
0
0
简约小清新柠檬,高清图片,手机壁纸
0
0
白敬亭
0
0
中国名歌《同一首歌》歌曲简谱 - 乐器教程网
0
0
如果一天三顿饭只吃馒头和咸菜能坚持多久呢
0
0
柯南- 堆糖,美图壁纸兴趣社区
0
0
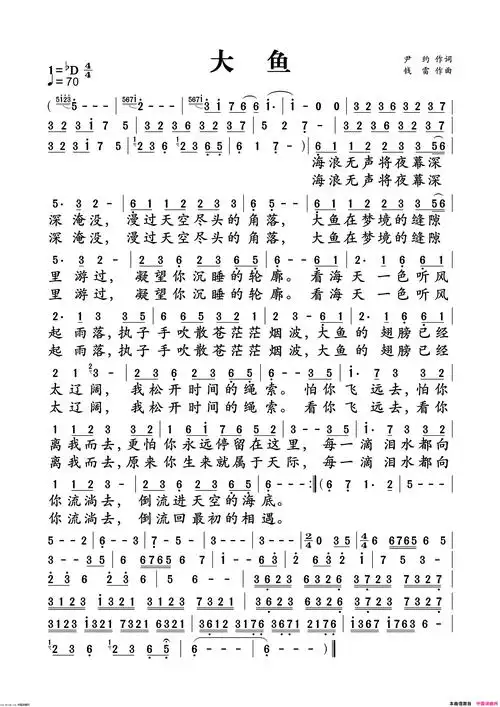
大鱼简谱-周深演唱1
0
0
2021男生齐刘海碎发,挑选适合自己的发型
0
0
齐鲁古道之名人轶事——蒲松龄(3) 蒲松龄情缘章丘,满心沧桑满眼诗
0
0
朴彩英西装配短裤,大玩"下半身失踪",腿长肤白太迷人
0
0
《起风了》简谱
0
0
卡通可爱女孩站姿png素材透明免抠图片-卡通手绘
0
0