八零图社
首页
最新
热门
排行
首页
最新
热门
排行
自然风光
动漫卡通
美食摄影
科技数码
人物写真
创意设计
壁纸背景
游戏原画
首页
微信头像忧郁伤感
图片详情
忧郁伤感孤独的男头像.
0
浏览
0
喜欢
1080x1078
尺寸
2026-03-14 12:35:25
上传
查看原图
下载图片
图片链接
缩略图
原图
外链
专题
微信头像忧郁伤感
相关图片
很emo的伤感孤独背影男生头像 优质高清最新微信忧郁男头合集_男生
0
0
微信头像伤感黑夜 - 搜狗图片搜索
0
0
被感情伤心痛的句子说说心情短语
0
0
微信头像 消极_头像图片_扣扣乐园
0
0
伤感动漫头像男生抑郁 - 搜狗图片搜索
0
0
黑白伤感微信女生头像 悲伤逆流成河
0
0
可以做微信头像伤感 伤感图片
0
0
【图】2022唯美有意境女生伤感头像 哪怕我万劫不复也祝你幸福_女生
0
0
女生好看微信头像抑郁 女生头像图片大全 -【爱个性】
0
0
丧系伤感忧郁女生头像
0
0
微信头像背影忧郁卡通伤感点击鼠标右键下载
0
0
动漫女生头像|动漫女头高冷忧郁大家可以微信搜索关注公众号"趣味表情
0
0
随机推荐
壁纸 红色草莓,水果特写,木板 2880x1800 hd 高清壁纸, 图片, 照片
0
0
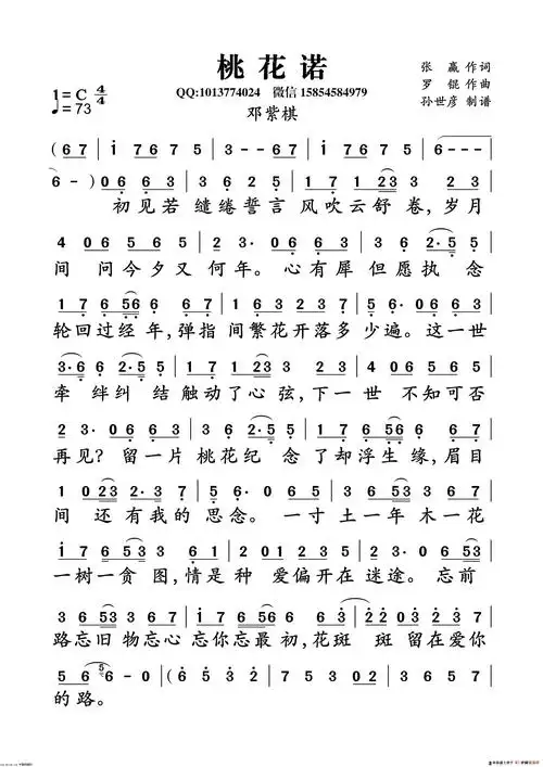
桃花诺 - 简谱 - 歌谱简谱大全
0
0
魏晨
0
0
黎明和李嘉欣,周慧敏等哪个女星最般配?看了他们的合照就知道了
0
0
所以,男人穿婚纱以后应该会流行开来,因为反串近些年一直很火哦~ 哈哈
0
0
乔欣身穿精薄纱礼裙现身发布会展迷人锁骨显甜美气质网友美得不可方物
0
0
一夜爆红的火狐狸当事人致歉引25亿讨论求求你们别传谣了
0
0
白色的苹果标志图片电脑壁纸高清原图查看
0
0
餐厅口布花十种简单折法图解 学会折花美美哒
0
0
可爱头像 #女生头像 #萌娃头像 #闺蜜头像
0
0
金在中
0
0
锁屏壁纸搞怪
0
0