八零图社
首页
最新
热门
排行
首页
最新
热门
排行
自然风光
动漫卡通
美食摄影
科技数码
人物写真
创意设计
壁纸背景
游戏原画
首页
适合12岁女孩的美甲
图片详情
这3款适合春天的"美甲",承包了你上半年的精致,时髦显手白
0
浏览
0
喜欢
640x514
尺寸
2026-03-13 05:02:37
上传
查看原图
下载图片
图片链接
缩略图
原图
外链
专题
适合12岁女孩的美甲
相关图片
冰透色穿戴甲果冻胶芭蕾甲可爱童趣彩虹美甲片成品24片盒装假指甲
0
0
如何做指甲油,小学生自制指甲油(2种系列 10款美甲)
0
0
夏日美甲腮红小花短甲
0
0
夏日粉粉美甲女孩必备
0
0
1/ 12 学生党必备美甲款式,仙女桃桃 学生党必备美甲款式,仙女桃桃
0
0
裕臻小孩穿戴甲美甲12岁女童海绵宝宝短款13岁卡通可爱儿童学生指甲贴
0
0
【奖励孩子的贴纸】儿童穿戴甲美甲指甲贴片可拆卸反复使用学生指甲盖
0
0
夏日梦幻星空美甲,精致女孩的必修课,总有一款适合你
0
0
学生党少女风美甲系列
0
0
适合夏天的美甲图片
0
0
儿童穿戴甲6-12岁显白长的专用短款贴片女童果冻胶2024年长款美甲 蝶
0
0
最适合学生党的60款美甲推荐!
0
0
随机推荐
星座十二生肖古风公主卡通简笔画合集每天学一幅简笔画12星座简笔画
0
0
灯笼鱼是什么样子的
0
0
王二妮, - 时光网mtime
0
0
悬崖电视剧剧情介绍(悬崖结局周乙明明可以全身而退) - 问答百科 - 九
0
0
中老年头像大全适合中年人的山水风景微信头像
0
0
sdg50系列电动缸选型指南
0
0
如何评价周慧敏的长相? - 知乎
0
0
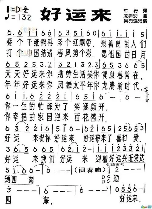
《好运来》简谱乐谱及降e萨克斯伴奏曲
0
0
熊人族凶恶战士
0
0
flash微动画制作的应用与实践介绍
0
0
抖音古装新娘图片-美女壁纸 - 壁纸家
0
0
影视速递 影视焦点 2007年12月27日,电视剧《甜蜜蜜》剧照曝光.
0
0